1.

a)

Zero at

Laplace transform:

b)

Unit step in laplace space is

Final value theorem:

c)

d)

Matches with final value theorem

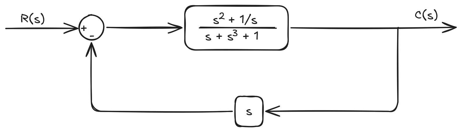
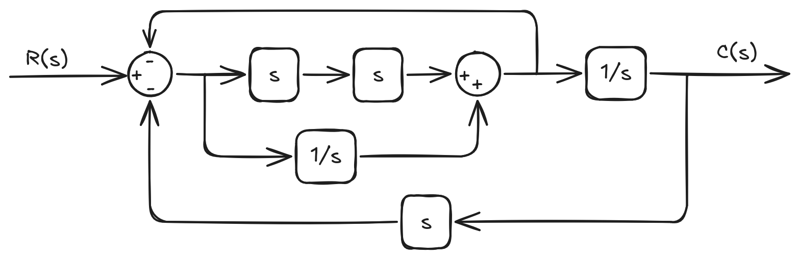
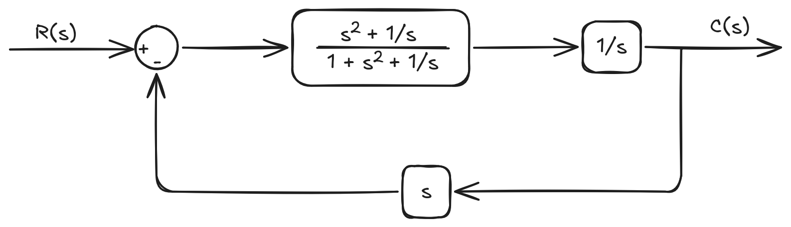
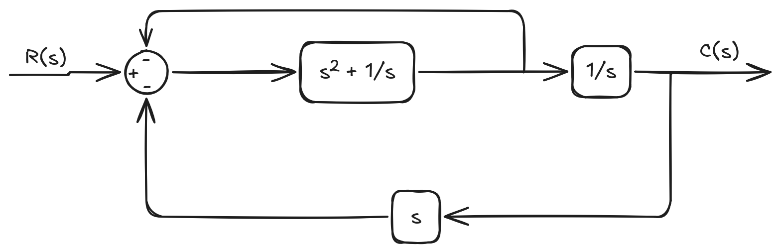
2.

a)

Simplified:

b)

Characteristic equation:

Pole at

Poles from :

Numeric solver on calculator gives root at

solving for roots in gives:

Since the system roots have positive real parts the system is Unstable.

3.

Open-loop transfer function:

Closed loop denominatior is which gives the characteristic equation:

For the system to be stable, all poles from the cubic must have negative real parts. We get negative real parts if all coefficients are

From that we get the lower limit .

Find where K becomes to big and crosses over in to the right half-plane ( crosses the imaginary axis)

from the real part:

imaginary part:

for :

in gives:

which means the real part of the pole becomes positive, and the system becomes unstable, when

Answer:

4.

Laplace transform:

From laplace-transformed :

subsitute in :

Q.E.D.

5.

with :

a)

:

Crosses the real axis when

for :

at we get

Crossing at

b)

at we get

at we get

at we get

c)

where

  • : Unstable poles of the closed loop system

  • : Encirclements of

  • : Unstable poles of the open loop system

:

pole at

which means .

For stable system no poles should lie in RHP wich means .

becomes when the plot crosses the real axis to the left of .

From a) we have the crossing point:

Since we get we get . The crossing point must also lay in the LHP which gives .

Answer:

6.

a)

from :

from :

Since and lie closer to the imaginary axis (real part closer to zero) they are the dominant poles.

b)

When poles have real parts closer to zero their exponetial decay becomes slower, eg. vs . Therefore they determine the long term characteristics of the system more than poles that lie further from the imaginary axis.

7.

a)

in Bode form:

normalised:

Break points ():

Behaves like ( above breakpoint) :

Phase:

b)

From the plot we get a phase margin of around and no gain margin.

c)